티스토리 뷰

이번 포스팅은 히알루론산 효능과 부작용에 대해서 알아보겠습니다. 히알루론산은 피부와 관절을 보호해주는 역할을 한다고 알려져 있습니다. 히알루론산이 어떤 효능이 있는지 또 어떤 부작용이 있는지 대해서 알아보겠습니다.

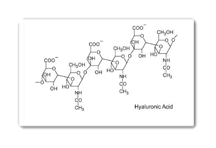
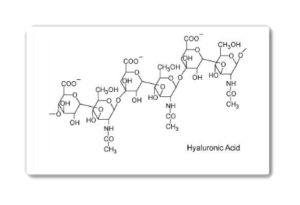
히알루론산 (Hyaluronic Acid)이란?
피부와 연골 같은 결합 조직에 가장 높은 농도로 존재하는 화합물입니다. 히알루론산은 관절액의 주요 구성물로서 압축력에 저항하는 윤활제 역할을 해줍니다. 또한 히알루론산은 각종 안과 수술의 보조제, 관절 내 주사제, 인공눈물, 상처치유 등의 목적으로 사용되는 약물이며, 자신의 무게에 300~1000배에 해당하는 수분을 함유할 수 있는 다당류의 일종으로 보습작용이 뛰어납니다.


히알루론산은 관절염이나 안구건조증, 각종 질병과 피부미용에 주사제나 점안액, 보형물로 사용되는 등 의학적으로도 널리 사용되고 있는 유익한 성분이라고 볼 수 있습니다.
히알루론산은 점성이 크기 때문에 세균의 침입이나 외부의 물리적, 화학적인 자극으로부터피부 손상을 막아주는 역학을 해주기도 합니다. 피부층에서 수분을 흡수해서 피부를 촉촉하고 탱탱하게 피부의 탄력과 볼륨감을 유지하는 역할을 해줍니다. 히알루론산이 부족하면, 피부가 건조하고 잔주름이 생기면서 탄력이 떨어지게 되죠.




● 히알루론산 효능



1. 피부 미용
탄력 개선, 주름예방, 다크서클개선 건성 피부의 사람들 대상으로 한 연구에서 히알루론산을 복용하였을 때 피부의 수분 함량을 크게 개선시켜줬습니다.
2. 염증억제
염증억제하는데 효과적 (상처 재생에 도움을 줌)

3. 관절통증 및 퇴행성 질환 개선
관절을 부드럽게 움직이도록 윤활제 역할을 해주기 때문에 연골 등에서 충격을 완화하고 원활하게 움직일 수 있도록
도와주는 기능을 합니다. 히알루론산이 많아진다는 것은 관절에 도움이 되는거라 볼 수 있어요.
관절염 환자의 경우 통증 개선을 위해 주사를 맞기도 합니다. 효과는 좋지만 부작용의 위험도 그만큼 크다고 합니다.
관절 외의 뼈의 골밀도를 개선시켜 골다공증으로 발전하지 않도록 하는 효능이 있다고 알려져 있습니다.
4. 역류성 식도염
역류성 식도염 등 가슴 쓰린 증상 완화에 도움을 줍니다.

5. 안구 건조증
눈물이 마르지 않도록 하고, 망막이 손상되지 않도록 해줍니다. 히알루론산은 점안액으로 사용되기도 하는 성분으로 안구 건조증을 예방, 개선하는데 도움을 줄 수 있습니다. (눈에 염증이 있으면 더 심해질 수 있으니 상담을 요함)
대신에 히알루론산을 먹었을 경우에도 눈의 건강을 개선할 수 있는지 여부에 대한 연구는 진행이 되지 않았다는 점을 참고 하시기 바랍니다.
6. 방광염 완화
방광염을 완화하는데 도움을 줄 수 있습니다.

● 히알루론산 부작용
히알루론산이 포함된 바르는 화장품을 사용할 경우 간혹 지성 피부는 맞지 않을 수 있다고 해요. 그래도 대부분은 피부에 크게 부작용없이 사용할 수 있는 성분이랍니다. 간혹 체질에 따라 히알루론산 부작용으로 드물게 발진, 가려움, 두드러기 등이 나타날 수 있습니다.
히알루론산을 복용했을 경우 200mg을 12개월까지 복용시 발견된 특별한 부작용은 없었다고 해요. 다만 암세포의 성장을 촉진 할수 있기 때문에 암환자나 암 병력이 있었던 분들은 복용하지 않는 것이 좋습니다.

● 히알루론산 권장 섭취량
- 하루 약 100~200mg 이라고 해요
히알루론산은 피부에 바르는 것으로는 진피까지 공급이 잘 안된다고 해서 식품으로도 공급이 어려워서 영양제로 보충하는 것이 좋다고 합니다. 보통 6주 이상 복용했을때 효능이 나타난다고 하니 참고해주세요 ^^